sábado, 20 de abril de 2024

LOS ERRORES DE A.EINSTEIN ANALIZADOS CON LAS FORMULAS DE TRANSFORMACION DE LORENTZ

PRESENTACION

Leyendo en el libro de A. Einstein titulado: “Sobre la teoría de la relatividad especial y general “el tema de las Fórmulas de las Transformaciones de Lorentz, nos han surgido algunas dudas. Analizadas estas dudas, hemos visto que proceden de dos errores. Se trata de los mismos errores que ya expusimos en anteriores de nuestros ensayos, en los que denunciábamos que a través de los movimientos relativos el autor del citado libro confundía el verbo VER con el verbo SER. Y, así, nosotros irónicamente decimos que predica “el milagro de la transmutación”.

El presente ensayo lo dedicamos a poner de manifiesto los citados errores y a plantear un método de análisis para construir e interpretar las citadas fórmulas. Para mejor seguimiento del presente estudio, lo hemos dividido en dos partes. La segunda parte es algo más teórica que la primera y aparecen algunos desarrollos matemáticos.

PRIMERA PARTE

En esta primera parte plantearemos y explicaremos los pasos a seguir para la construcción de las Fórmulas de Transformación de Lorentz. A estas fórmulas les llamaremos:  “Fórmulas de la VISION de la Extensión de un evento observada desde una plataforma móvil”, con objeto de corregir la tergiversada aceptación entre los verbos: VER y SER.

1.- UNA EXPLICACION QUE APARECE EN UN LIBRO DE A.EINSTEIN

En el libro “Sobre la teoría de la relatividad especial y general” de Einstein, en su página 32 (Edición “Alianza Editorial”), describe la forma y utilidad de las fórmulas llamadas de las Transformaciones de Lorentz, de la siguiente manera:

“Dadas las cantidades (x,y,z,t) de un suceso respecto a (k), ¿Cuáles son los valores (x`,y`,z´,t´) del mismo suceso respecto a (k´)?

Las relaciones hay que elegirlas de tal modo que satisfagan las leyes de propagación de la luz en el vacío para uno y el mismo rayo de luz (y además para cualquier rayo de luz) respecto a (K) y (K´)”.

Y prosigue diciendo:                        

El problema queda resuelto por las ecuaciones”.

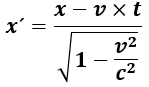
Fórmula del Espacio


Fórmula del Tiempo


Y, en esta misma página del citado libro, se dibuja el siguiente sistema de coordenadas (k) y (K).

                                                  Figura 1

                    

Más adelante demostraremos que la expresión:


que aparece en la fórmula del tiempo, se traduce como un tiempo y que con la “fórmula del espacio” habría suficiente para hacer aplicaciones “teóricas”.

2.- ¿DONDE ENCONTRAMOS ERRORES EN LA EXPLICACION QUE DA A.EINSTEIN EN LAS FORMULAS DE TRANSFORMACION DE LORENTZ?

El primer error que encontramos en las explicaciones que da el físico sobre las Fórmulas de las Transformaciones de Lorentz es el siguiente:

Al preguntar:

¿Cuáles son los valores (x`,y`,z´,t´) del mismo suceso respecto a (k´)?

Creemos que está pensando en la “transformación” o sea en “convertir “más que en VER el suceso desde una plataforma móvil respecto al suceso. Creemos que este es uno de los errores. Vuelve a caer en el error que ya hemos comentado en anteriores de nuestros ensayos. Mediante los movimientos relativos confunde el verbo VER con el verbo SER. De esta forma prepara lo que nosotros hemos llamado “ el milagro de la transmutación”. Decimos que está pensando en la “transformación”, ya que en el experimento mental de la barra de medir longitudes, sometido a un movimiento relativo, aplica la formula de la transformación del espacio y predica el disparate del acortamiento de la referida barra. Este error consiste en creer en la “transformación” de la materia.

El Segundo error consiste en querer aplicar las conclusiones sacadas en un experimento mental, a un experimento físico de la vida real.

Nos preguntamos si los resultados obtenidos procedentes de un experimento mental pueden ser aplicables en la vida real.

Creemos que la respuesta tiene que ser negativa. Precisamente se razona el problema aplicando un experimento mental por no poder aplicar un experimento físico. Y, hasta ahora, parece ser que es una quimera pretender construir un experimento físico que transcriba los resultados de un experimento mental. Todo esto agravado si en el experimento mental se ha confundido la acción de VER con el verbo SER   

En el presente ensayo veremos que nos aparecerá la expresión


En la que (v) es la velocidad de un cuerpo móvil y (c) es la velocidad de la luz. Aún considerando la (v) una velocidad de las más grandes en nuestro mundo real, por ejemplo la velocidad de un cohete espacial, su velocidad es tan pequeña respecto a la de la luz (c) que el cociente que aparece dentro del radicando de la expresión que hemos escrito sería un valor infinitésimo. Por eso decimos que, tal como veremos, sería una quimera traspasarla a un experimento físico.   

(NOTA: No confundir, como manifiesta A. Einstein, con que la velocidad límite que se puede alcanzar es la velocidad de la luz. El lector puede leer el ensayo contenido en nuestro Blog, titulado: “Teoría de la relatividad. - Es posible que una partícula pueda viajar a una velocidad más rápida que la luz”. Observará que allí estamos hablando de una partícula y no de un cuerpo dotado de movimiento).

3.- ¿QUE ENTENDEREMOS POR DIMENSION DE UN  EVENTO?

Entenderemos por dimensión de un evento su duración desde la aparición del mismo hasta su extinción. Esta duración podemos valorarla en longitud o en tiempo. A esta dimensión le llamaremos EXTENSION del evento.

4.- NOS PREGUNTAMOS, ¿EN UN PLANTEAMIENTO TEORICO, PARA QUE SERVIRIAN  LAS FORMULAS DE TRANSFORMACION?

Según nuestro enfoque diremos que su finalidad sería: Valorar la dimensión de un evento, que acontece en una determinada posición del espacio, por un observador que se está moviendo a velocidad (v) constante y rectilínea respecto a este evento.

(NOTA: Observe el lector que hablamos de un planteamiento “teórico”. Al final expondremos que este planteamiento utilizando los recursos matemáticos, difícilmente lo podríamos aplicar en nuestra vida real).

5.- FORMULA DE LA TRANSFORMACION DE LA VISION DE LA EXTENSION DE UN EVENTO

Para no confundir con la errónea finalidad que pretende dar Einstein a las fórmulas de transformación de Lorentz, nosotros en nuestro análisis las llamaremos: Formulas de transformación de la VISION de la Extensión de un evento. Dese cuenta el lector que hacemos destacar el verbo VER.

6.- ACCIONES IMPLICITAS EN LA TRANSFORMACION DE LA VISION DE LA EXTENSION DE UN EVENTO

Para construir la “formula de la transformación de la VISION de la Extensión de un evento”, en nuestro estudio consideraremos tres acciones implícitas en ella.  Estas acciones son las siguientes:

APARECER el evento; PERMANECER su visibilidad; VER su Extensión.

7.- DOS FENOMENOS FISICOS A CONSIDERAR

En la construcción de la fórmula de transformación debemos tener en cuenta que se solapan dos fenómenos físicos. Uno es el movimiento y desplazamiento del observador del evento a una velocidad (v). El otro fenómeno físico es la VISION del evento, desde el lugar en que se ha desplazado el observador, y en la que esta implicada la velocidad de la luz (c).

8.- UN TRIANGULO RECTANGULO PARA ANALIZAR DESDE UNA PLATAFORMA MOVIL LA VISION DE LA EXTENSION DE UN EVENTO

Para analizar la VISION de la Extensión de un evento desde una plataforma móvil nos auxiliaremos de un triángulo rectángulo.

Hemos de definir la situación de tres puntos representativos de: Aparición del evento (E); Finalización de la Extensión del evento (F) y Observación del evento (O). Con estos tres puntos definimos un triángulo.

9.- ¿POR QUE EL TRIANGULO HA DE SER RECTANGULO?

Para posicionar en el espacio el evento y la posición de observación del mismo, consideraremos los dos catetos del triangulo como unos ejes coordenados. Los catetos del triángulo deben ser perpendiculares entre si. Esto es así ya que:

En el eje horizontal le daremos el significado como del recorrido del movimiento y la velocidad (v), y en el eje vertical expresaremos la dimensión de la Extensión del evento.

Sin entrar en expresiones matemáticas más especializadas, solo decimos que estos dos ejes de referencia deben tener direcciones distintas ya que implican conceptos diferentes. O sea, deben ser linealmente independientes. Deben tener la cualidad de independencia.

10.- REPRESENTACION DEL TRIANGULO RECTANGULO CON LA EXPRESION DE SUS RECORRIDOS ENTRE SUS PUNTOS

La siguiente figura presenta los citados tres puntos y sus recorridos entre ellos. Este triangulo servirá para calcular las relaciones que existen entre los recorridos de la luz y el de un observador móvil del evento.

                                      Figura 2

El punto (E) es en donde ha aparecido el evento.

El cateto vertical lo interpretamos como el equivalente al recorrido de la EXTENSION del evento. Lo indicamos como (c.tp), siendo (c) la velocidad de la luz y llamando (tp) Tiempo Propio de la Extensión.

Representamos el final de la Extensión con el punto (F).

El cateto horizontal sirve para indicar el recorrido y dirección de un cuerpo móvil que se desplaza a velocidad uniforme y rectilínea (v) desde el punto (F) al punto (O). Podríamos considerar que es el cuerpo del “observador”.

La hipotenusa de este triángulo representa el recorrido del rayo de luz que tiene que percibir el observador para VER la aparición y desarrollo del evento. Su tiempo de recorrido lo escribimos como (tr).   

11.- ¿POR QUE SITUAMOS LA EXTENSION SOBRE EL CATETO VERTICAL?

Ya dijimos que los dos catetos debían ser linealmente independientes. Ahora nos podemos preguntar porque la Extensión del evento lo ponemos como una longitud sobre el cateto vertical y le llamamos (tp). La respuesta es que este valor representa el tiempo en que un observador situado en el punto final (F) estaría contemplando todo el desarrollo de la Extensión. Y así, de esta manera plasmamos en un croquis un criterio de valoración de la Extensión.

12.- RELACION ENTRE EL TIEMPO (tp) DE  LA EXTENSION DEL EVENTO Y EL TIEMPO DE DESPLAZAMIENTO (td) DEL OBSERVADOR

Hemos desarrollado un procedimiento matemático que nos permite valorar el tiempo (tp) de la EXTENSION en función del Tiempo de Desplazamiento (td) que requiere el observador del evento para recorrer el itinerario descrito por los puntos (F-O).

Situando la EXTENSION del evento en el cateto vertical del triángulo, valorándola como (tp) y, valorando el tiempo de desplazamiento (td) que existe entre el punto de observación (O) y el citado cateto vertical, la relación existente entre ellos la expresamos de la siguiente manera:                                                   


La expresión:


es el llamado FACTOR DE LORENTZ, en dónde (c) es la velocidad de la luz y (v) la velocidad de un cuerpo móvil.

(NOTA: El desarrollo matemático para llegar a obtener esta ecuación esta en la Segunda Parte del presente ensayo)

13.- EL FACTOR DE LORENTZ COMO FACTOR DE TRANSFORMACION DEL TIEMPO DE DESPLAZAMIENTO (Ttd) EN MEDIDA DE LA EXTENSION (tp) DEL EVENTO.

Para justificar que el Factor de Lorentz permite transformar el valor del Tiempo de desplazamiento (td) sobre el  cateto horizontal del triángulo al punto de observación (O), en unidades del Tiempo Propio (tp) del evento, ó sea su EXTENSION, observaremos la formula dada anteriormente de la que podemos deducir lo siguiente:                    

Con lo que podemos afirmar que el Factor de Lorentz equivale a valorar el (td) en unidades (tp). Es un factor transformador que permite valorar desplazamientos realizados a velocidades (v) y transformarlos en velocidades (c).   

14.- EXPRESION DE LAS DISTANCIAS EN TIEMPOS EMPLEADOS EN RECORRERLAS

El expresar las distancias en tiempos empleados en recorrerlas nos permitirá considerar solo una de las formulas de transformación expuestas en el referido libro de A.Einstein.

Podemos expresar la distancia entre dos puntos como el TIEMPO empleado en desplazarse entre estos dos puntos a una determinada velocidad. Esta velocidad puede ser la de un cuerpo móvil (v) o bien la de la luz (c).

Puesto que la velocidad de la luz (c) la podemos considerar constante, la podemos tomar como medida para valorar distancias y medir estas distancias en unidad de velocidad de la luz (uvl).

En la siguiente figura podemos observar que la distancia entre el punto de observación (O) y sus ejes de referencia móviles (K´), que tiene como referencia el observador, la podemos cuantificar mediante:

 (X – v.(td)).

Figura 3


Por lo que hemos comentado, esta distancia también la podemos expresar en tiempo transcurrido en recorrerla (T), a una velocidad (v).

Por lo que establecemos la equivalencia:


15.- LA FORMULA DE LA TRANFORMACION DEL ESPACIO DADA POR A.EINSTEIN IMPLICITAMENTE CONTIENE LA EXPRESION DE LOS DOS FENOMENOS FISICOS QUE HABIAMOS INDICADO

El que la fórmula de transformación del espacio de A.Einstein, no cumpla con la finalidad que él le asigna, esto nos quiere decir que su expresión, implícitamente contiene los dos fenómenos físicos a considerar. 

Observemos que el numerador de la fórmula es:  


que tiene en cuenta el fenómeno físico del desplazamiento. Esto lo podemos comprobar en la anterior Figura 3.

Respecto al denominador de la citada fórmula planteamos lo siguiente:

Tal como habíamos expuesto, si      


equivale a permitir valorar el (tden unidades (tp) y como

es equivalente al (td), podemos deducir que:


queda valorado en unidades (tp). O sea, en la Extensión del suceso.

Quede claro que nos permite VER la Extensión del evento. NO transformar el evento.

16.- OTRA FORMULA PARA VALORAR LA VISION DE LA EXTENSION DE UN EVENTO DESDE UNA PLATAFORMA MOVIL

En el anterior número hemos visto que la fórmula de la transformación del espacio que nos da A.Einstein, aunque no se ajuste a la finalidad que el propone, si que podríamos utilizarla con un enfoque teórico para medir la extensión (tp) de un evento.

Con fines teóricos también podemos dar otra expresión que nos permita obtener el (tp) en función del tiempo de desplazamiento (td) necesario para cubrir la distancia entre los puntos (F) y (O).   


Observe el lector que esta expresión se obtiene haciendo un despeje de variables en la ecuación expresada en el Punto 12.

17.- ¿POR QUE A LA FORMULA DE LA TTRANSFORMACION DEL ESPACIO LE LLAMAMOS FORMULA DE LA TRANSFORMACION DE LA VISION DE LA EXTENSION DE UN EVENTO?

El nombre de “fórmula de la transformación de la visión de la extensión de un evento” nos ha surgido al investigar la construcción y posible empleo de esta fórmula. Por lo que el lector puede llamarla como a él le plazca.

Nosotros la hemos llamado de esta manera por lo siguiente:

Podemos hacer una composición de las figuras 1 y 2 sobreponiéndolas una encima de la otra para que así, globalmente, represente la expresión gráfica de la citada formula que, según habíamos comentado es la expresión de los dos fenómenos físicos.  

En la siguiente figura podremos ver que aparecen tanto las variables que implican el traslado de los ejes coordenados, como las variables relacionadas con la visión del evento desde un punto de observación móvil. O sea, las variables correspondientes al triangulo rectángulo.

                                          Figura 4

Si considerásemos que no exista movimiento y que el observador está fijo en el punto (O), este observador VERIA la Extensión del evento situado en el eje (K) y con una dimensión igual a (E – F). Pero, si ahora consideramos que el observador se va moviendo y sus coordenadas de referencia son (K´), la VISION del referido evento sobre estas coordenadas tendrá una dimensión: ( e – f). Con lo que podemos decir que la VISION del evento SE ha TRANSFORMADO. Y esta dimensión de la Extensión es con la que debe operar el observador,

18.- ¿SE MANTIENE LA RELACION td/tp AL MOVERSE EL SISTEMA DE REFERENCIA MOVIL?

Podría aparecernos la duda si con este desplazamiento de coordenadas se mantiene constante la relación:   


que nos hace poder medir el valor de la Extensión del evento. Utilizando la Geometría podemos decir que si,  aplicando el Teorema de Tales.

(NOTA: Ver en la segunda parte del presente estudio la explicación geométrica del Teorema de Tales)

SEGUNDA PARTE

Esta segunda parte sirve para exponer los planteamientos matemáticos e ideas que avalan los criterios que se han empleado en la primera parte, para la construcción de las citadas fórmulas.

1.- CONDICIONES DE VALIDEZ PARA LA VISION DE LA EXTENSION DE UN  EVENTO DESDE UN PUNTO DE OBSERVACION MOVIL. CONDICIONES DE SINCRONIZACION

Observemos la Figura 2. En un instante dado ocurre que: en el punto (E ) del espacio aparece un evento y en este mismo instante el posible observador de este evento se encuentra en el punto (F) del espacio.

A partir de este instante inicial empieza el recorrido del rayo de luz que transporta la imagen del suceso y el recorrido del observador que tiene que detectar tal suceso. Llamando (tr) el tiempo ocupado en el recorrido del rayo y (td) el tiempo del recorrido del observador, como los dos recorridos deben coincidir en el punto de observación (O) impondremos como una condición de sincronización:

                                          

Esta es la condición que impondremos en los cálculos que realizaremos seguidamente.

2.- DEDUCCION MATEMATICA DE LA RELACION ENTRE EL TIEMPO PROPIO DE LA EXTENSION DEL EVENTO Y EL TIEMPO DE DESPLAZAMIENTO HASTA EL LUGAR DE OBSERVACION

Para relacionar el Tiempo Propio (tp) de la Extensión del evento, con el Tiempo de Desplazamiento (td) aplicaremos el Teorema de Pitágoras al triangulo rectángulo que dimos como referencia.                                

Exigiendo el cumplimiento de la Condición de Sincronización:


nos permite hacer la sustitución de (tr) por (td) con lo que se obtiene: 


Agrupando términos se tiene:                                                                            



Podemos transformar el denominador de la siguiente forma:


Eliminando (c), da como resultado


3.- DEMOSTRACION DE QUE AL DESPLAZAR LA VISION DE LA EXTENSION SOBRE EL SISTEMA DE REFRENCIA MOVIL SE MANTIENE LA RELACION ENTRE EL (td ) Y EL (tp)

Para demostrar este cumplimiento debemos recordar el Teorema de Tales. Podemos decir que en un triángulo rectángulo se cumple la relación de proporcionalidad entre el recorrido del cateto horizontal y el cateto vertical.

Recordemos que en el cateto vertical representaremos la Extensión (tp) del Evento y en el cateto horizontal el tiempo de desplazamiento del observador.

La siguiente figura pretende demostrar la validez de este teorema, al observar que se mantienen las referidas proporciones

Figura 5

               

4.- DEMOSTRACION DE QUE EL SEGUNDO FACTOR DEL NUMERADOR DE LA FORMULA DEL TIEMPO SE PUEDE TRADUCIR COMO UN TIEMPO

Al exponer la fórmula de la transformación del tiempo dijimos que la expresión:


no es mas que la expresión de un “tiempo”. Vamos a demostrar esta afirmación.

En la VISION de un evento, en el que empleamos un Sistema de Referencia móvil (SRM) respecto a un Sistema de Referencia Fijo (SRF), hay que tener en cuenta que utilizamos dos tipos de velocidades de naturaleza completamente diferente. Recordemos que se trata de: (v) y (c). Debemos homologar estos dos conceptos si queremos incorporarlos en la ejecución de un mismo fenómeno físico. Utilizamos la velocidad de la luz (c) como patrón de medida. O sea, los 300.000 kms/seg como unidad de velocidad.

Para hacer las referidas conversiones debemos tener en cuenta los siguientes criterios a seguir:

Todas las longitudes se cuantificarán utilizando: “unidades velocidad luz” (uvl).

Esto quiere decir que: las (uvl) son las que se consumirían para desplazarse entre dos determinados puntos de referencia. 

Por ejemplo, podemos escribir: x = k (uvl) refiriéndonos a que una determinada longitud (x) se encuentra, o requeriría k (uvl), para llegar a ella.

Una relación tal como: (v / c) asigna una fracción de (uvl) a una determinada velocidad (v), ya que (c) es una cantidad fija que se toma como unidad, mientras que (v) es la velocidad relativa entre los Sistemas de Referencia Inerciales, valor diferente en cada caso en concreto.

Para cuantificar una longitud (l) aplicaremos la expresión:


Esta expresión responde a la pregunta: Una longitud (x) que se ha recorrido a la velocidad (v) ¿a qué longitud (l) equivale si la velocidad fuese la de la luz (c)?

Para obtener el tiempo de desplazamiento (td) de un Sistema de Referencia Móvil (SRM) sobre el eje (X), operando con (uvl), deberemos dividir el espacio (l) por la velocidad de la luz (c).

O sea:

y como


se obtiene: